МОН публикува моделите на националните външни оценявания за учебната 2025-2026 година

12.09.2025г.

Припомняме, че в тестовете от националните външни оценявания за VII и X клас ще има 6 задачи от природни науки, които учениците ще решават с математически знания

Прочети

Образователни карти помагат на учениците в подготовката за НВО

01.09.2025г.

С тях учениците от 4.,5., 6. и 7. клас могат да наградят своите знания, да наваксат пропуснатия материал и да придобият увереност за предстоящите изпити

Прочети

Министър Вълчев: Предлагаме изпити с повече практически задачи, които да ограничат заучаването за сметка на формирането

23.07.2025г.

Предложенията са публикувани за обществено обсъждане на сайта на министерството

Прочети

Седмокласниците подават заявления за прием в гимназии до 10 юли

08.07.2025г.

Подаването е само по електронен път

Прочети

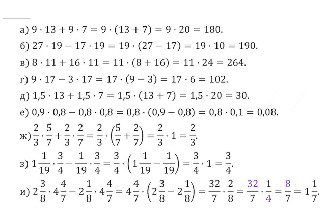
Ето ги верните отговори на матурата по математика за 7-ми клас

20.06.2025г.

Изпитът по математиката се състоеше от 23 задачи, от които 20 с четири възможности за отговор, от които само един е правилен

Прочети

По вариант 2 ще работят седмокласниците на изпита по математика

20.06.2025г.

Изпитният вариант беше изтеглен в МОН от Венцислав Генков от в. Аз-буки в присъствието на заместник-министъра на образованието и науката Таня Михайлова

Прочети

По вариант 2 ще работят седмокласниците на изпита по български език и литература

18.06.2025г.

Изпитният вариант беше изтеглен в МОН от журналиста Зина Соколова от Аз-буки

Прочети

Очаква се близо 56 000 седмокласници да се явят на националните външни оценявания в 1675 училища в страната

18.06.2025г.

Учебното съдържание също обхваща изучаван материал от пети, шести и седми клас, като включва теми от алгебра, геометрия, текстови задачи и вероятности

Прочети

Започват националните външни оценявания в края на 7-ми клас

17.06.2025г.

Изпитът по български език и литература ще се проведе на 18 юни, по математика е на 20 юни, а този по чужд език, който е по желание – на 23 юни

Прочети

Над 55 000 десетокласници се явяват на национално външно оценяване

13.06.2025г.

Изпитът по математика съдържа общо 17 задачи, а по български език и литература - 21

Прочети

Последни новини

Най-четени